19世紀までは、系の変化を考える理論はニュートン力学に代表される「決定論」とラプラスに始まる「確率論」に二分され、その二つの間は完全に区切られていた。
その決定論と確率論の境界を崩したのが量子力学とカオス理論だった。
その決定論と確率論の境界を崩したのが量子力学とカオス理論だった。
量子論では法則そのものが確率論的な意味しか持たず、電子のふるまいは「確率波」で表現される。
量子論と同じくらい決定論に打撃を与えたのが「決定論的カオス」の発見である。
「決定論的カオス」とは、原理的には単純な方程式によって決定されているにも拘わらず、実際には極めて複雑な運動となる場合である。その最も良く知られた例が下に二つの磁石を置いた振り子の運動である。
最初の誤差が振り子のひと振れの間に何倍もの誤差となるため、10回振れた時の位置を予測する事は不可能となる。
これを「不安定性」と言う。
カオスの概念は様々な分野で独自に発見され、次第にそれを扱う数学的方法が同種である事が分かってきた。
「不安定性」は最初の微小変動がどんどん増加する割合によって定義され、その理論の創始者の名前を取って「リアプノフ指数」と呼ばれている。
カオス理論の発展の源は天体力学にある。
三つ以上の物体が相互に重力で引き合う場合、その微分方程式は解く事ができない。(三体問題)
ポアンカレはこの問題、つまり変化する量の間の関係やその連続性を幾何学的に扱う「位相幾何学」(トポロジー)という新分野を開発した。
トポロジーはカオス的運動を説明する有力な道具となった。
その後、ポアンカレの研究の発展がマンデルブローの「フラクタル幾何学」へつながった。
振動系は全てカオス的であるが、その理由は「フィードバック」の要素を持っている事にある。
フィードバックはサイバネティクスの用語で、ある系の出力を入力側へ戻す事である。系の変動を増幅させる「正のフィードバック」と変動を減少させ系を安定させる「負のフィードバック」がある。
カオス系は正のフィードバックと関係する。生物のホメオスタシスや経済の価格機構などは負のフィードバックの例である。
ロバート・メイは動物の個体数の変動が餌の供給量次第でカオス的になる事を発見した。これはマルサス以来の食糧と人口の変動として研究されて来た微分方程式を差分方程式で近似させたもので、「ロジスティック写像」と呼ばれ次式で表される。
X(n+1) = a・X(n)・(1-X(n)) X(n)はn時点での個体数を表す
これがaの値によって下図のような非常に複雑な変動を示す。(横軸が時間の経過、縦軸が個体数である。)

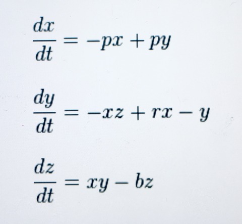
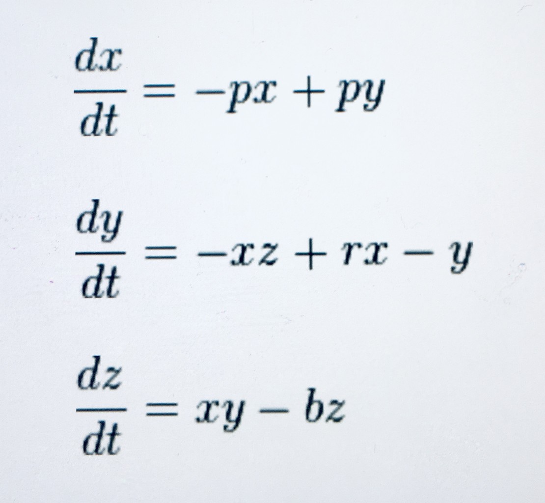
気象学者エドワード・ローレンツは大気の対流を表す「ナビエ・ストークスの方程式」と言われる非常に複雑な偏微分方程式を思い切って単純化した下の様な連立微分方程式を作った。
これは単純過ぎて実際の気象現象には使えないが、カオスを表す純粋な数学的モデルとして有名になった。
例えばこの式にp=10, r=28, b=8/3 を代入すると解が下図の様な軌跡を描く。

このような一定の範囲に収まり、しかも出発点に戻る事が無い方程式の解は
「奇妙なアトラクター」と呼ばれる。
ローレンツのアトラクターはニュートン力学系においてもカオスが表れる事を示した。
フランスの天文学者ミシェル・エノンとアメリカの学生カール・ヘイルは銀河中の星の運動を表す方程式を案出した。
それによれば、星の運動は規則的な運動からカオス運動へと遷移する。これもニュートン力学系でカオスが表れる典型的な例である。この方程式は分子運動のモデルにも応用されるようになった。
ネイル・ポンフリーはこのニュートン力学系で起こるカオスが量子力学の不確定性と似た性質を持つ事を示し注目されている。カオス理論と量子力学との関係の研究は始まったばかりで、それがどこまで行くかはまだ未知数である。
パチンコの様な釘が多数並んだピンボールで玉がとる経路は理論的には初期条件で決まるはずだが実際に予想するのは不可能である。
玉がピンの右へ行く場合をR、左へ行く場合をLで表し、ピンが上下に5段あるとすると、玉の取る経路は LRLLR といった記号で表せる。この経路は2の5乗通りある。
この記号を確率論で「記号力学」と言われる。記号力学によってカオスが容易に扱える様になる。
この第1章はカオス理論がどの様な場で同時多発的に発生し、次第に繋がっていったか、その歴史を概略的に述べている。
カオスの特徴として
(1)初期条件に敏感である事
(2)フィードバックを含む事
(3)非線型である事
などが挙げられる。

コメント