ジュリア集合と数論的に似た性格を持ち、似た模様を描く事で注目されているのがクライン群の極限集合である。(下図)

これは正確に説明しようとすると非常に専門的になり、このブログのレベルを遥かに超えるので、その哲学的、定性的な意味が直感的に分かる様に大まかに説明する事にする。
それでも何段階かのステップが必要だ。専門知識の有る人が見たらかなりいい加減な説明になるかもしれない。
もし間違いが有ったら指摘していただければと思う。
ユークリッド幾何学の「平行線の公準」即ち「或る点を通り、或る直線に平行な直線は1本だけ存在する」が成立しない「非ユークリッド幾何学」は初めは架空の話として始まったが、それが曲面上(或いは曲がった空間上)の幾何学を表し、さらに相対性理論によって物理的基礎を持つ事が確かめられ、数学上の重要な分野となった。
<曲率>
非ユークリッド幾何学は「曲がった空間の幾何学」であり、その曲がり方の度合いを「曲率」と言う。これも数学的定義は難しいので図で直感的な説明をする。

真ん中が曲率0とはおかしいと思うかもしれないが、面上の図形の方程式、位置関係などが平面に延ばした時と全く変わらない、例えば平面上に描いた地図の形は円筒にしても変わらない。従って曲率は0なのである。
この図は2次元の曲率だが、同様に3次元、4次元の曲率も考えられる。
この図から分かる様に2次元の面の曲率は3次元でしか表現できないし、3次元空間の曲率は4次元でしか表現できない。
曲率が負で一定の率の形を双曲多様体と言う。面なら双曲面、3次元なら3次元双曲多様体と呼ぶ。
双曲面が上左図のような鼓(つづみ)の形とは限らない。例えばこんな形も双曲面である。
<リーマン球面>
xyzの3次元空間で xyは複素平面と見なす。即ちxが実次元、yが虚次元の大きさを表す。
原点の上に乗った球を考える。球面の上端のN点(北極点)と球面上の任意の点Z'を通る直線と複素平面 xy の交点をZとすると、ZとZ'は1対1対応となるので、球面上の点によって全ての複素数を表す事ができる。

この様な球面をリーマン球面と言う。つまりリーマン球面とは「複素平面で包まれた球面」「複素数の座標を持った球面」と考えれば分かりやすい。
これで複素平面の力学が双曲多様体の幾何学と結びつくのである。
<立体射影>
上の操作で球面上の図形は平面に射影される。この時、図形はどの様に変形するだろうか?
上の図を見れば分かる様に球の経線は直線に、緯線は円に変換されている。
実は立体射影では次の事が証明されている。
(1)球面上の円は平面上でも円になる。(円円対応)
(2)球面上の2曲線の角度は平面上でも同じ角度になる。(等角性)
この2性質が次の「反転」でも現れる。
<反転>
リーマン球面の縦の断面図を下に示す。
xy平面上の点Pに対し南極点SとPを通る直線を引き球面との交点をTとする。
次に北極点NとTを通る直線を引きxy平面との交点をP'とする。
角度NTSは常に直角だから、三角形POSとNTSとNOPは相似である。
∴ OP : OS = ON : OP'
∴
(rは円の半径)
この関係でP'をPの反転像と言い、リーマン球面の断面円Oを基準円と言う。
反転と言う理由は射影によって基準円の外側と内側が引っ繰り返るからである。
反転には下図にある様に次の特徴がある。(赤の円が基準円)
(1)原点を通る直線(青)は自分自身に写される。
(2)原点を通る円(青)は原点を通らない直線(緑)に写される。
原点を通らない直線は原点を通る円に写される。
(3)原点を通らない円は原点を通らない円に写される。(円円対応)
(1) (2) (3)
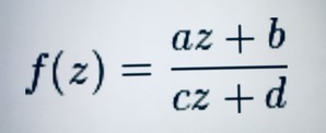
<メビウス変換>
a,b,c,d を複素数とする。
で定義される写像をメビウス変換と言う。
これは複素平面の円または直線に関する反転の合成を意味する。
従って反転の性格がメビウス変換でも当てはまる。即ち
円は円に写像される。(円円対応)
球面上の交わる角度は写像後も同じ角度となる。(等角性)
メビウス変換は回転、平衡移動、反転の基本的変換の組み合わせに分解できる。
メビウス変換を表した動画が有ったので挙げておく。
内側と外側が反転しても線同志が直交する性質(等角性)が保たれているのが分かる。
<群>
集合の元(要素)間の演算*に関して
(1)結合法則が成り立つ。 A* (B*C) = (A*B)* C
(2)単位元が存在する。 A*K = A なるKが有る。
(3)逆元が存在する。 A*A' = K なるA'が有る。
が成り立つ時、この集合は演算*の群と言う。
つまり群は集合と演算のセットである。この3つが成り立つ事は行列の演算と同型の位相空間である事を意味する。また直感的に言えば、結晶の形を崩さない様な操作(回転、平行移動、鏡映、反転 etc.)の総称をイメージすれば良い。
さらに*に関して交換法則A*B = B*A も成り立つ時、その群を「可換群」と言う。(周知の通り、行列のかけ算では交換法則は成り立たない。)
<クライン群>
双曲空間に関するメビウス変換を元(要素)とした群がクライン群である。
ただしそこに条件が付いている。その変換がトポロジー的に同形である事。
円が楕円や四角形に変換されても良いが、Cの形に変換されてはクライン群ではない。(本当はもう1つ、離散位相という条件が有るのだが、難しいので省略する。)
球面と双曲空間は違うと思うかも知れない。しかし球の裏面は4次元双曲空間の特殊な例と見なせるのである。球面におけるクライン群の軌跡のカオス的な部分は「極限集合」と呼ばれフラクタルとなる。
「円円対応」と「等角変換」という性質が立体射影→反転→メビウス変換→クライン群と継承されていく点がミソである。
参考資料
http://sekibunta.hatenablog.jp/ 「アポロニアン・ガスケットの描き方」のカテゴリー





コメント