ジュリア集合と数論的に似た性格を持ち、似た模様を描く事で注目されているのがクライン群の極限集合である。(下図) 図はhttp://www.dc.ocha.ac.jp/fukugo/matsuzaki.htmlより借用これは正確に説明しようとすると非常に専門的になり、このブログのレベルを遥かに ...
カテゴリ: カオス理論
マンデルブロー集合 ジュリア集合
自然の中のフラクタルには一つのフラクタル次元だけでは特徴を説明できない多重化されたフラクタルも多い。この多重フラクタル(=マルチフラクタル)のモデル化も最近は注目されている。多重フラクタルモデルの例にマンデルブロー集合とジュリア集合がある。これをを定義す ...
拡散律速凝集
ランダム・フラクタルの最も単純で応用範囲の広いモデルとして注目されているのが「拡散律速凝集」( DLA : Diffusion-Limited Aggregation )である。周知の通り、水面上の微粒子はブラウン運動と言われるランダムな運動をしている。水面の中心に粘着性の種粒子を置いた ...
ハウスドルフ次元
「フラクタル次元」については下の資料が非常に分かり易かったのでこれを参考に書く。http://hr-inoue.net/zscience/topics/fractal/fractal.html<非自己相似のフラクタル と ランダム・フラクタル>前回はフラクタル図形の中でも最も簡単な「自己相似」の場合とその「相似 ...
フラクタル次元
第9章「化学時計とカオス」は化学反応式が難しい割にはカオス理論にとって重要な内容に乏しいので省略する。ただ次の3点が重要である。① 化学反応の速度は反応物質のモル濃度のべき乗に比例するので、 その式は非線形である。② 化学反応の一部は反応物質や生成物 ...
天文学の多体問題
三つ以上の物体が互いに重力を及ぼし合う系は一般的には積分する事ができない。(即ち解析的に解く事ができない。)ラプラスが気付かなかったこの問題に初めて気づき追及したのがポアンカレである。恒星・惑星・衛星系は長い間に安定に向かうとは限らずカオスにもなりうる。 ...
生物のリズム
「生物分布の不規則変動」はごく最近まで他の要因の干渉によるものと考えられていた。ロジスティック写像によって、他のランダムな干渉(ノイズと言う)が無くても不規則な変動をしうる、つまりカオスが生じる事が分かった。そこで、自然の複雑な現象からノイズを除き背後の ...
乱流のモデル
流体力学で、流れを「層流」と「乱流」に分類する。「層流」とは流体のどの部分の運動も流体全体の流れと並行になっている流れを言い「乱流」とは全体の流れと並行でない動きが混じっているものを言う。例えば水道の蛇口を少し開けた時に真っ直ぐに下へ落ちるのが「層流」で ...
位相空間とアトラクター
(1)位相空間 カオス理論には幾何学的な用語がよく使われる。「位相空間」とは分かり易い説明をすれば、集合の要素が持つ性質を変数と見なし座標で表した空間で、ユークリッド幾何学と集合論を結合するためのものである。例えば平面上の点の集合は、それが平面上の何処 ...
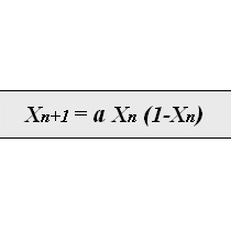
ロジスティック写像
ロジスティック写像はもともとは 生物の個体数の増加率を微分方程式で表した「ロジスティック方程式」 を差分方程式に変換したものである。 それは次式で表される。 (aは定数) これは簡単な数式にも関わらずカオスとなり得る典型的な例としてカオス理論でしばしば ...
強制球面振り子
この振り子は縦横斜めどの方向にも振れる事ができる。そして振り子の支点(糸の根本)を正確な周期で揺らす。ただこれだけだ。支点の強制振動を正確に行うため、クランク等の装置を使う。ここで重要なのは、(1)支点の強制振動と振り子の最初の振動を同じ方向にする(2) ...
現実世界のカオス
19世紀までは、系の変化を考える理論はニュートン力学に代表される「決定論」とラプラスに始まる「確率論」に二分され、その二つの間は完全に区切られていた。その決定論と確率論の境界を崩したのが量子力学とカオス理論だった。量子論では法則そのものが確率論的な意味し ...
カオス理論を勉強する理由
この数十年間の科学の進歩は目を見張るものがある。60年代のサイバネティクス、70年代のカタストロフ理論、80年代のカオス理論、そして現代ではそれらが「複雑性科学」として統合の方向へ向かっている。自然科学をもっと勉強しないと世界の動きについて行けなくなる。さし ...










